Part Number Hot Search : 
F1401 MG725 51923F 360B5 15KPJ210 29501 1B26A FDL005CR
Product Description
Full Text Search

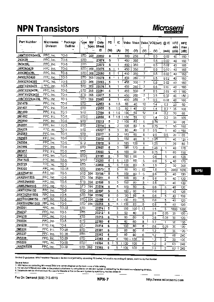
2N2984 - Si, SMALL SIGNAL TRANSISTOR, TO-5

2N2984_7984194.PDF Datasheet


 Full text search : Si, SMALL SIGNAL TRANSISTOR, TO-5
 Product Description search : Si, SMALL SIGNAL TRANSISTOR, TO-5


 Related Part Number
PART Description Maker
2N1987 2N1990 2N2237 2N2102A 2N2309 2N2405 2N2479 Leaded Small Signal Transistor General Purpose
SMALL SIGNAL TRANSISTORS 80 V, NPN, Si, SMALL SIGNAL TRANSISTOR, TO-39
SMALL SIGNAL TRANSISTORS 50 V, NPN, Si, SMALL SIGNAL TRANSISTOR, TO-39
CABLE TIE MINI NAT 4.2,1 40 V, NPN, Si, SMALL SIGNAL TRANSISTOR, TO-39
CENTRAL[Central Semiconductor Corp]
Seme LAB
Raytheon Company
ETC
Central Semiconductor Corp.
Central Semiconductor, Corp.
2N3404 GES5816-J1 HS5306 HS5306A HS5308 HS5308A HS Leaded Small Signal Transistor General Purpose
Small Signal Transistors 40 V, NPN, Si, SMALL SIGNAL TRANSISTOR
Small Signal Transistors 60 V, PNP, Si, SMALL SIGNAL TRANSISTOR
Small Signal Transistors 60 V, NPN, Si, SMALL SIGNAL TRANSISTOR
CONNECTOR ACCESSORY 60 V, PNP, Si, SMALL SIGNAL TRANSISTOR
Small Signal Transistors 40 V, PNP, Si, SMALL SIGNAL TRANSISTOR
Central Semiconductor, Corp.
Central Semiconductor Corp.
CENTRAL[Central Semiconductor Corp]
MPSH10PSTOA FXT3866STZ UZTX415STOA UZTX415STOB ZTX UHF BAND, Si, NPN, RF SMALL SIGNAL TRANSISTOR TO-92 COMPATIBLE, E-LINE PACKAGE-3
100 V, NPN, Si, SMALL SIGNAL TRANSISTOR
200 mA, 30 V, NPN, Si, SMALL SIGNAL TRANSISTOR
500 mA, 300 V, PNP, Si, SMALL SIGNAL TRANSISTOR
Diodes, Inc.
Zetex Semiconductor PLC
ZETEX PLC
DIODES INC
BSS192P Low Voltage MOSFETs - Small Signal MOSFET, -250V, SOT-89, RDSon = 12
SIPMOS Small-Signal-Transistor
OptiMOS -P Small-Signal-Transistor
Infineon Technologies A...
INFINEON[Infineon Technologies AG]
BC172TAPE-REEL BC172ATAPE-REEL 2SC3199 2SC3355 MPS 150 mA, 50 V, NPN, Si, SMALL SIGNAL TRANSISTOR, TO-92
UHF BAND, Si, NPN, RF SMALL SIGNAL TRANSISTOR, TO-92
2000 mA, 40 V, NPN, Si, SMALL SIGNAL TRANSISTOR, TO-92
100 mA, 50 V, NPN, Si, SMALL SIGNAL TRANSISTOR, TO-92
NXP Semiconductors N.V.
MPSA42 MPSA43 500 mA, 300 V, NPN, Si, SMALL SIGNAL TRANSISTOR, TO-92
TRANSISTOR 500 mA, 200 V, NPN, Si, SMALL SIGNAL TRANSISTOR, TO-92, PLASTIC PACKAGE-3, BIP General Purpose Small Signal
VISHAY SEMICONDUCTORS
MMST7157T146 MMST7157T147 MMST918ST147 BC858BT117 200 mA, 60 V, PNP, Si, SMALL SIGNAL TRANSISTOR
UHF BAND, Si, NPN, RF SMALL SIGNAL TRANSISTOR
100 mA, 30 V, PNP, Si, SMALL SIGNAL TRANSISTOR

2N6430 2N6433 COMPLEMENTART SILICON TRANSISTOR 100 mA, 200 V, NPN, Si, SMALL SIGNAL TRANSISTOR, TO-18
Leaded Small Signal Transistor General Purpose
Central Semiconductor, Corp.
CENTRAL[Central Semiconductor Corp]
BFR90A BFR90AGELB TRANSISTOR RF SMALL SIGNAL TRANSISTOR, TO-50, ROHS COMPLIANT, PLASTIC PACKAGE-3, BIP RF Small Signal
Silicon NPN Planar RF Transistor
Vishay Semiconductors
Vishay Siliconix
BSS225 Q67042-S4266 SIPMOS⑶ SMALL-SIGNAL-TRANSISTOR
SIPMOS㈢ Small-Signal-Transistor
SIPMOS? Small-Signal-Transistor
Infineon Technologies A...
Infineon Technologies AG
2N1054 TRANSISTOR 1000 mA, 115 V, NPN, Si, SMALL SIGNAL TRANSISTOR, TO-5, TO-5, 3 PIN, BIP General Purpose Small Signal
Vishay Semiconductors
BUZ40B BSP372 BSP373 BSS129 BSS101 SN7000 BSS135 8 A, 500 V, 0.8 ohm, N-CHANNEL, Si, POWER, MOSFET, TO-220 TO-220, 3 PIN
SIPMOS Small-Signal Transistor (N channel Enhancement mode Logic Level Avalanche rated 1.7 A, 100 V, 0.3 ohm, N-CHANNEL, Si, POWER, MOSFET
SIPMOS Small-Signal Transistor (N channel Enhancement mode Avalanche rated)
150 mA, 240 V, N-CHANNEL, Si, SMALL SIGNAL, MOSFET, TO-92
130 mA, 240 V, N-CHANNEL, Si, SMALL SIGNAL, MOSFET, TO-92
250 mA, 60 V, N-CHANNEL, Si, SMALL SIGNAL, MOSFET, TO-92
80 mA, 600 V, N-CHANNEL, Si, SMALL SIGNAL, MOSFET, TO-92
Infineon Technologies AG
SIEMENS AG
SIEMENS A G
 
 Related keyword From Full Text Search System
2N2984 standard 2N2984 protection 2N2984 command 2N2984 Bipolar 2N2984 制造商
2N2984 中文网站 2N2984 toshiba 2N2984 protection 2N2984 Port 2N2984 optical
 

 

Price & Availability of 2N2984

All Rights Reserved © IC-ON-LINE 2003 - 2022  

[Add Bookmark] [Contact Us] [Link exchange] [Privacy policy]
Mirror Sites :  [www.datasheet.hk]   [www.maxim4u.com]  [www.ic-on-line.cn] [www.ic-on-line.com] [www.ic-on-line.net] [www.alldatasheet.com.cn] [www.gdcy.com]  [www.gdcy.net]


 . . . . .
  We use cookies to deliver the best possible web experience and assist with our advertising efforts. By continuing to use this site, you consent to the use of cookies. For more information on cookies, please take a look at our Privacy Policy. X
0.062847852706909