Part Number Hot Search : 
2150QA3 SP485CS F1040 LC864164 1N4733 XB6CA65B ISL6526A N5210
Product Description
Full Text Search

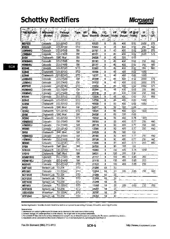
SD845 - 8 A, SILICON, RECTIFIER DIODE, DO-201AD

SD845_7830655.PDF Datasheet


 Full text search : 8 A, SILICON, RECTIFIER DIODE, DO-201AD
 Product Description search : 8 A, SILICON, RECTIFIER DIODE, DO-201AD


 Related Part Number
PART Description Maker
UFT120 UFT12010 UFT12015 UFT12020 UFT12130 UFT1214 60 A, 500 V, SILICON, RECTIFIER DIODE
60 A, 700 V, SILICON, RECTIFIER DIODE
ULTRA FAST RECOVERY MODULES 60 A, 100 V, SILICON, RECTIFIER DIODE
60 A, 800 V, SILICON, RECTIFIER DIODE
MICROSEMI CORP-COLORADO
MICROSEMI[Microsemi Corporation]
Microsemi, Corp.
MICROSEMI CORP-SCOTTSDALE
1N1341B 1N1585 1N1587 1N1068 1N1064 1N2232A 1N2232 SILICON POWER RECTIFIER 16 A, 600 V, SILICON, RECTIFIER DIODE, DO-203AA
SILICON POWER RECTIFIER 16 A, 150 V, SILICON, RECTIFIER DIODE, DO-203AA
SILICON POWER RECTIFIER 16 A, 100 V, SILICON, RECTIFIER DIODE, DO-203AA
SILICON POWER RECTIFIER 16 A, 300 V, SILICON, RECTIFIER DIODE, DO-203AA
SILICON POWER RECTIFIER 16 A, 50 V, SILICON, RECTIFIER DIODE, DO-203AA
Standard Rectifier (trr more than 500ns)
N/A
   SILICON POWER RECTIFIER
MICROSEMI CORP-LAWRENCE
Microsemi, Corp.
MICROSEMI[Microsemi Corporation]
EFM301B EFM302B EFM303B EFM304B EFM305B EFM306B EF 3 A, 400 V, SILICON, RECTIFIER DIODE, DO-214AA
3 A, 50 V, SILICON, RECTIFIER DIODE, DO-214AA
SURFACE MOUNT GLASS PASSIVATED SUPER FAST SILICON RECTIFIER VOLTAGE RANGE 50 to 600 Volts CURRENT 3.0 Amperes
3 A, 150 V, SILICON, RECTIFIER DIODE, DO-214AA
RECTRON LTD
Rectron Semiconductor
DSI17-06A DS80-04F DS80-12F DS80-16F DSI75-14A DSI 25 A, 600 V, SILICON, RECTIFIER DIODE
110 A, 400 V, SILICON, RECTIFIER DIODE
110 A, 1200 V, SILICON, RECTIFIER DIODE
110 A, 1600 V, SILICON, RECTIFIER DIODE
100 A, 1400 V, SILICON, RECTIFIER DIODE
52 A, 1600 V, SILICON, RECTIFIER DIODE
IXYS CORP
BYP35A0506 BYP35A05 BYP35A1 BYP35A2 BYP35A3 BYP35A 35 A, 300 V, SILICON, RECTIFIER DIODE METAL PACKAGE-1
35 A, 50 V, SILICON, RECTIFIER DIODE METAL PACKAGE-1
35 A, 100 V, SILICON, RECTIFIER DIODE METAL PACKAGE-1
35 A, 600 V, SILICON, RECTIFIER DIODE METAL PACKAGE-1
35 A, 200 V, SILICON, RECTIFIER DIODE METAL PACKAGE-1
35 A, 400 V, SILICON, RECTIFIER DIODE METAL PACKAGE-1
Silicon Press-Fit-Diodes
Semikron International
1N3208SERIES 1N3214R 1N3208 1N3208R 1N3209 1N3209R DIODE 15 A, 200 V, SILICON, RECTIFIER DIODE, DO-203AB, DO-5, 1 PIN, Rectifier Diode
15 A, 50 V, SILICON, RECTIFIER DIODE, DO-203AB
15 Amp Stud-mounted Silicon Rectifier Diodes 15安培良种式硅整流二极
15 am stud-mounted SILICON RECTIFIER DIODES
DIODE 15 A, 100 V, SILICON, RECTIFIER DIODE, DO-203AB, DO-5, 1 PIN, Rectifier Diode
VISHAY INTERTECHNOLOGY INC
International Rectifier, Corp.
IRF[International Rectifier]
Vishay Semiconductors
DSA35 DSA35-12A DSA35-16A DSA35-18A DSAI35-12A DSA Rectifier Diode Avalanche Diode 49 A, 1800 V, SILICON, RECTIFIER DIODE, DO-203AB
Rectifier Diode Avalanche Diode 49 A, 1600 V, SILICON, RECTIFIER DIODE, DO-203AB
Rectifier Diode Avalanche Diode 49 A, 1200 V, SILICON, RECTIFIER DIODE, DO-203AB
Discrete Rectifier Diodes
   Rectifier Diode Avalanche Diode
IXYS, Corp.
IXYS[IXYS Corporation]
FFM202L FFM201L FFM203L FFM204L 2 A, 400 V, SILICON, RECTIFIER DIODE
SURFACE MOUNT GLASS PASSIVATED FAST RECOVERY SILICON RECTIFIER VOLTAGE RANGE 50 to 1000 Volts CURRENT 2.0 Ampere
2 A, 200 V, SILICON, RECTIFIER DIODE
Rectron Semiconductor
RECTRON LTD
SBA160-04R-YB SBA120-18J-RA SBA120-18J-YA SBA100-0 8 A, 40 V, SILICON, RECTIFIER DIODE
6 A, 180 V, SILICON, RECTIFIER DIODE
5 A, 40 V, SILICON, RECTIFIER DIODE
15 A, 50 V, SILICON, RECTIFIER DIODE
15 A, 90 V, SILICON, RECTIFIER DIODE
4 A, 50 V, SILICON, RECTIFIER DIODE
1 A, 50 V, 2 ELEMENT, SILICON, SIGNAL DIODE
Bourns, Inc.
SANYO Semiconductor Co., Ltd.
 
 Related keyword From Full Text Search System
SD845 Data sheet SD845 terminals description SD845 Command SD845 positive SD845 Programmable
SD845 quad op amp SD845 electric SD845 Untuk apa ic SD845 stmicroelectronics SD845 ic查找网站
 

 

Price & Availability of SD845

All Rights Reserved © IC-ON-LINE 2003 - 2022  

[Add Bookmark] [Contact Us] [Link exchange] [Privacy policy]
Mirror Sites :  [www.datasheet.hk]   [www.maxim4u.com]  [www.ic-on-line.cn] [www.ic-on-line.com] [www.ic-on-line.net] [www.alldatasheet.com.cn] [www.gdcy.com]  [www.gdcy.net]


 . . . . .
  We use cookies to deliver the best possible web experience and assist with our advertising efforts. By continuing to use this site, you consent to the use of cookies. For more information on cookies, please take a look at our Privacy Policy. X
0.045167922973633