Part Number Hot Search : 
AUJZ30 69X4350 APM4548K VTO110 ALN2400 SEL6010 TB0636A N411044
Product Description
Full Text Search

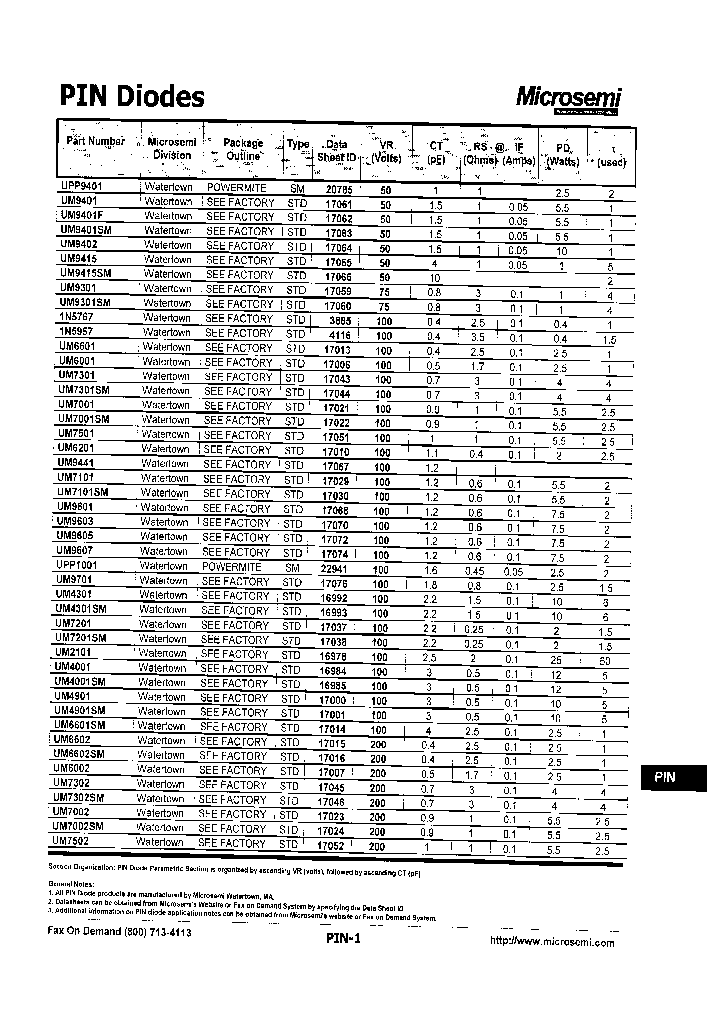
UM6601SM - 100 V, SILICON, PIN DIODE

UM6601SM_7785698.PDF Datasheet


 Full text search : 100 V, SILICON, PIN DIODE
 Product Description search : 100 V, SILICON, PIN DIODE


 Related Part Number
PART Description Maker
CPR1-120LEADFREE CPR1-080LEADFREE CPR1-100LEADFREE 1 A, 1200 V, SILICON, SIGNAL DIODE GPR-1A, 2 PIN
1 A, 800 V, SILICON, SIGNAL DIODE GPR-1A, 2 PIN
1 A, 1000 V, SILICON, SIGNAL DIODE GPR-1A, 2 PIN
1 A, 100 V, SILICON, SIGNAL DIODE GPR-1A, 2 PIN
1 A, 600 V, SILICON, SIGNAL DIODE GPR-1A, 2 PIN
1 A, 400 V, SILICON, SIGNAL DIODE GPR-1A, 2 PIN
1 A, 200 V, SILICON, SIGNAL DIODE GPR-1A, 2 PIN
Central Semiconductor, Corp.
1N4004GPE/4G 1N4005GPE/100 1N4002GPE/100 1N4003GPE Diodes
1 A, 1000 V, SILICON, SIGNAL DIODE, DO-204AL PLASTIC, DO-41, 2 PIN
1 A, 800 V, SILICON, SIGNAL DIODE, DO-204AL PLASTIC, DO-41, 2 PIN
1 A, 50 V, SILICON, SIGNAL DIODE, DO-204AL PLASTIC, DO-41, 2 PIN
1 A, 200 V, SILICON, SIGNAL DIODE, DO-204AL PLASTIC, DO-41, 2 PIN
1 A, 100 V, SILICON, SIGNAL DIODE, DO-204AL PLASTIC, DO-41, 2 PIN
1 A, 600 V, SILICON, SIGNAL DIODE, DO-204AL PLASTIC, DO-41, 2 PIN
1 A, 400 V, SILICON, SIGNAL DIODE, DO-204AL PLASTIC, DO-41, 2 PIN
Vishay Beyschlag
HSMP-3890-TR1G HSMP-3895-TR1G HSMP-389F-TR1G HSMP- 100 V, SILICON, PIN DIODE LEAD FREE, SOT-23, 3 PIN
100 V, SILICON, PIN DIODE LEAD FREE, SOT-143, 4 PIN
100 V, SILICON, PIN DIODE LEAD FREE, SC-70, 3 PIN
Agilent Technologies, Inc.
AGILENT TECHNOLOGIES INC
2SK1228TMG MA3027-LH MA3027TSK MA3150-LTMG MA3360- 100 mA, 50 V, N-CHANNEL, Si, SMALL SIGNAL, MOSFET
2.7 V, 0.2 W, SILICON, UNIDIRECTIONAL VOLTAGE REGULATOR DIODE
0.1 A, SILICON, SIGNAL DIODE
SILICON, PIN DIODE
UHF BAND, Si, NPN, RF SMALL SIGNAL TRANSISTOR
0.035 A, 2 ELEMENT, SILICON, SIGNAL DIODE
PANASONIC CORP
R720366XXWA R5010210XXWA R9G00822XXWA R9G00622XXWA 600 A, 3600 V, SILICON, RECTIFIER DIODE
100 A, 200 V, SILICON, RECTIFIER DIODE
2200 A, 800 V, SILICON, RECTIFIER DIODE
2200 A, 600 V, SILICON, RECTIFIER DIODE
2200 A, 400 V, SILICON, RECTIFIER DIODE
450 A, 150 V, SILICON, RECTIFIER DIODE
550 A, 50 V, SILICON, RECTIFIER DIODE
550 A, 150 V, SILICON, RECTIFIER DIODE
2500 A, 1300 V, SILICON, RECTIFIER DIODE
300 A, 900 V, SILICON, RECTIFIER DIODE
1800 A, 200 V, SILICON, RECTIFIER DIODE
1200 A, 3100 V, SILICON, RECTIFIER DIODE
2000 A, 2300 V, SILICON, RECTIFIER DIODE
3600 A, 2300 V, SILICON, RECTIFIER DIODE
100 A, 150 V, SILICON, RECTIFIER DIODE
POWEREX INC
HSMP-4820 HSMP-3864 HSMP-3890 HSMP-3892 HSMP-3893    Surface Mount PIN Diodes
100 V, SILICON, PIN DIODE
50 V, SILICON, PIN DIODE
200 V, SILICON, PIN DIODE
Surface Mount PIN Diodes 表面贴装PIN二极
Surface Mount PIN Diodes(表贴PIN 二极
Avago Technologies, Ltd.
HP[Agilent(Hewlett-Packard)]
http://
Agilent(Hewlett-Packard...
1N5767T25 5082-3001T25 100 V, SILICON, PIN DIODE
200 V, SILICON, PIN DIODE
AGILENT TECHNOLOGIES INC
10EZ91 10EZ10 10EZ100 10EZ11 10EZ12 10EZ13 10EZ14    Silicon 10 WATT Zener Diodes
25 V, 10 W, SILICON, UNIDIRECTIONAL VOLTAGE REGULATOR DIODE, TO-220AB
Low Current Operation at 250 锛?ow Reverse Leakage,Low Noise Zener Diode
6 Pin, DIP, Phototransistor Detector w/ Base, CTR 125-250 @ 10mA, 10V Optocoupler
45 V, 10 W, SILICON, UNIDIRECTIONAL VOLTAGE REGULATOR DIODE, TO-220AB
Low Current Operation at 250?录A茂录?Low Reverse Leakage,Low Noise Zener Diode(250?录A氓路楼盲陆?莽?碌忙碌?茫??氓掳?氓??氓??忙录?莽?碌忙碌?茫??盲陆?氓?陋氓拢掳茫??茅陆?莽潞鲁盲潞?忙??莽庐隆)
30 V, 10 W, SILICON, UNIDIRECTIONAL VOLTAGE REGULATOR DIODE, TO-220AB
Low Current Operation at 250??A???Low Reverse Leakage,Low Noise Zener Diode(250??A?・¥?????μ?μ?????°????????????μ?μ?????????a?£°???é???o3?o???????) 19 V, 10 W, SILICON, UNIDIRECTIONAL VOLTAGE REGULATOR DIODE, TO-220AB
6 Pin, DIP, Phototransistor Detector w/ Base, CTR 70-210 @ 10mA, 10V Optocoupler 50 V, 10 W, SILICON, UNIDIRECTIONAL VOLTAGE REGULATOR DIODE, TO-220AB
6 Pin, DIP, Phototransistor Detector w/ Base, CTR 100 min @ 10mA, 10V Optocoupler 51 V, 10 W, SILICON, UNIDIRECTIONAL VOLTAGE REGULATOR DIODE, TO-220AB
Low Current Operation at 250 ,Low Reverse Leakage,Low Noise Zener Diode 22 V, 10 W, SILICON, UNIDIRECTIONAL VOLTAGE REGULATOR DIODE, TO-220AB
6 Pin, DIP, Photodarlington Detector w/ Base CTR 100 min @ 10mA, 5V Optocoupler 14 V, 10 W, SILICON, UNIDIRECTIONAL VOLTAGE REGULATOR DIODE, TO-220AB
4.7 V, 10 W, SILICON, UNIDIRECTIONAL VOLTAGE REGULATOR DIODE, TO-220AB TO-220, 3 PIN
4.3 V, 10 W, SILICON, UNIDIRECTIONAL VOLTAGE REGULATOR DIODE, TO-220AB TO-220, 3 PIN
3.9 V, 10 W, SILICON, UNIDIRECTIONAL VOLTAGE REGULATOR DIODE, TO-220AB TO-220, 3 PIN
7.5 V, 10 W, SILICON, UNIDIRECTIONAL VOLTAGE REGULATOR DIODE, TO-220AB TO-220, 3 PIN
9.1 V, 10 W, SILICON, UNIDIRECTIONAL VOLTAGE REGULATOR DIODE, TO-220AB TO-220, 3 PIN
8.2 V, 10 W, SILICON, UNIDIRECTIONAL VOLTAGE REGULATOR DIODE, TO-220AB TO-220, 3 PIN
6.8 V, 10 W, SILICON, UNIDIRECTIONAL VOLTAGE REGULATOR DIODE, TO-220AB TO-220, 3 PIN
5.1 V, 10 W, SILICON, UNIDIRECTIONAL VOLTAGE REGULATOR DIODE, TO-220AB TO-220, 3 PIN
5.6 V, 10 W, SILICON, UNIDIRECTIONAL VOLTAGE REGULATOR DIODE, TO-220AB TO-220, 3 PIN
6.2 V, 10 W, SILICON, UNIDIRECTIONAL VOLTAGE REGULATOR DIODE, TO-220AB TO-220, 3 PIN
16 Pin, DIP, Quad Phototransistor Detector, BVCEO 35V, CTR 50-600 @ 5mA, 5V Optocoupler
Zener Voltage Regulator Diode
6 Pin, DIP, Phototransistor Detector w/ Base, CTR 20 min @ 10mA, 5V Optocoupler
62 V, 10 W, SILICON, UNIDIRECTIONAL VOLTAGE REGULATOR DIODE, TO-220AB
MICROSEMI CORP-SCOTTSDALE
Renesas Electronics, Corp.
Microsemi, Corp.
齐纳二极
MICROSEMI[Microsemi Corporation]
RKZ-KK RKZ3.9B2KK RKZ2.2BKK RKZ3.3B2KK RKZ2.7B2KK 33 V, SILICON, UNIDIRECTIONAL VOLTAGE REGULATOR DIODE
Silicon Planar Zener Diode for Surge Absorption and Stabilizer
3.985 V, SILICON, UNIDIRECTIONAL VOLTAGE REGULATOR DIODE SFP, 2 PIN
2.25 V, SILICON, UNIDIRECTIONAL VOLTAGE REGULATOR DIODE SFP, 2 PIN
3.375 V, SILICON, UNIDIRECTIONAL VOLTAGE REGULATOR DIODE SFP, 2 PIN
2.775 V, SILICON, UNIDIRECTIONAL VOLTAGE REGULATOR DIODE SFP, 2 PIN
6.195 V, SILICON, UNIDIRECTIONAL VOLTAGE REGULATOR DIODE SFP, 2 PIN
RENESAS[Renesas Electronics Corporation]
Welwyn Components, Ltd.
Rohm Co., Ltd.
DSG6405-389-004 DSG6474-06-169-001 100 V, SILICON, PIN DIODE
SKYWORKS SOLUTIONS INC
GP15M/54 GP15M/58 GP15B-HE3 1.5 A, 1000 V, SILICON, RECTIFIER DIODE, DO-204AC
DIODE 1.5 A, 100 V, SILICON, RECTIFIER DIODE, DO-204AC, LEAD FREE, PLASTIC, DO-15, 2 PIN, Rectifier Diode
VISHAY SEMICONDUCTORS
 
 Related keyword From Full Text Search System
UM6601SM Hex UM6601SM free down UM6601SM single UM6601SM uncooled cel UM6601SM MARKING
UM6601SM specifications UM6601SM 描述 UM6601SM standard UM6601SM hlmp UM6601SM 电子元件中文资料网站
 

 

Price & Availability of UM6601SM

All Rights Reserved © IC-ON-LINE 2003 - 2022  

[Add Bookmark] [Contact Us] [Link exchange] [Privacy policy]
Mirror Sites :  [www.datasheet.hk]   [www.maxim4u.com]  [www.ic-on-line.cn] [www.ic-on-line.com] [www.ic-on-line.net] [www.alldatasheet.com.cn] [www.gdcy.com]  [www.gdcy.net]


 . . . . .
  We use cookies to deliver the best possible web experience and assist with our advertising efforts. By continuing to use this site, you consent to the use of cookies. For more information on cookies, please take a look at our Privacy Policy. X
0.055330038070679