Part Number Hot Search : 
157M0 67040 51005 KM3701 UPA1902 MAX294 FRA254GP RF3181D
Product Description
Full Text Search

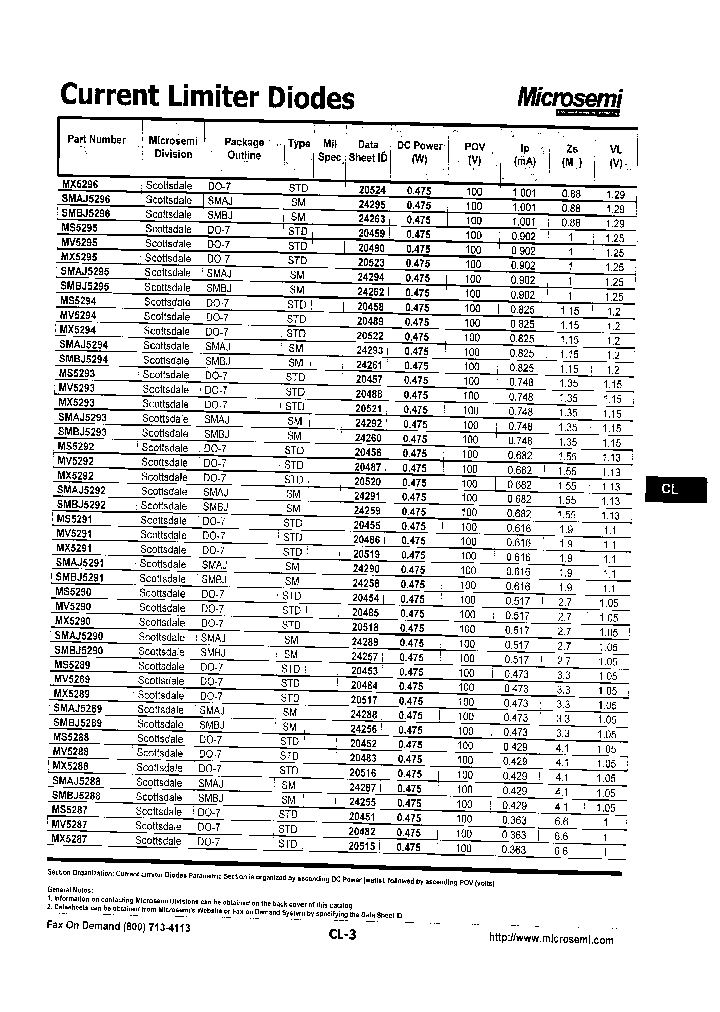
MV5295 - SILICON, RECTIFIER DIODE, DO-7

MV5295_7807627.PDF Datasheet


 Full text search : SILICON, RECTIFIER DIODE, DO-7
 Product Description search : SILICON, RECTIFIER DIODE, DO-7


 Related Part Number
PART Description Maker
1N2282 1N1185A 1N1612 1N3055 1N4510 1N3573R 1N1581 35 A, 300 V, SILICON, RECTIFIER DIODE, DO-5
40 A, 150 V, SILICON, RECTIFIER DIODE, DO-5
5 A, 50 V, SILICON, RECTIFIER DIODE, DO-4
0.125 A, SILICON, SIGNAL DIODE
12 A, 1000 V, SILICON, RECTIFIER DIODE, DO-4
3.5 A, 500 V, SILICON, RECTIFIER DIODE, DO-4
3 A, 50 V, SILICON, RECTIFIER DIODE, DO-4
1 A, 400 V, SILICON, SIGNAL DIODE, DO-4
1 A, 200 V, SILICON, SIGNAL DIODE, DO-4
0.8 A, SILICON, SIGNAL DIODE
35 A, 800 V, SILICON, RECTIFIER DIODE, DO-5
275 A, 150 V, SILICON, RECTIFIER DIODE, DO-9

1N1341B 1N1585 1N1587 1N1068 1N1064 1N2232A 1N2232 SILICON POWER RECTIFIER 16 A, 600 V, SILICON, RECTIFIER DIODE, DO-203AA
SILICON POWER RECTIFIER 16 A, 150 V, SILICON, RECTIFIER DIODE, DO-203AA
SILICON POWER RECTIFIER 16 A, 100 V, SILICON, RECTIFIER DIODE, DO-203AA
SILICON POWER RECTIFIER 16 A, 300 V, SILICON, RECTIFIER DIODE, DO-203AA
SILICON POWER RECTIFIER 16 A, 50 V, SILICON, RECTIFIER DIODE, DO-203AA
Standard Rectifier (trr more than 500ns)
N/A
   SILICON POWER RECTIFIER
MICROSEMI CORP-LAWRENCE
Microsemi, Corp.
MICROSEMI[Microsemi Corporation]
VBO36-12NO8 VBO20-16NO2 VBE20-20NO1 FBO40-12N VBO6 3 PHASE, 30 A, 1200 V, SILICON, BRIDGE RECTIFIER DIODE
31 A, 1600 V, SILICON, BRIDGE RECTIFIER DIODE
Single Phase Rectifier Bridge with Fast Recovery Epitaxial Diodes (FRED) 20 A, 2000 V, SILICON, BRIDGE RECTIFIER DIODE
Single Phase Rectifier Bridgein ISOPLUS i4-PAC-TM 40 A, 1200 V, SILICON, BRIDGE RECTIFIER DIODE
Single Phase Rectifier Bridge 65 A, 1800 V, SILICON, BRIDGE RECTIFIER DIODE
IXYS, Corp.
IXYS CORP
DSI17-06A DS80-04F DS80-12F DS80-16F DSI75-14A DSI 25 A, 600 V, SILICON, RECTIFIER DIODE
110 A, 400 V, SILICON, RECTIFIER DIODE
110 A, 1200 V, SILICON, RECTIFIER DIODE
110 A, 1600 V, SILICON, RECTIFIER DIODE
100 A, 1400 V, SILICON, RECTIFIER DIODE
52 A, 1600 V, SILICON, RECTIFIER DIODE
IXYS CORP
PBYR2045CTF PBYR2045CTX PBYR2040CTF PBYR2040CTX PB Rectifier diodes Schottky barrier
COMPUTER ACCESSORY 10 A, 40 V, SILICON, RECTIFIER DIODE
PARALLEL PRINTER CABLE 50 10 A, 40 V, SILICON, RECTIFIER DIODE
DB25 EXT CABLE 10 FT MF 10 A, 45 V, SILICON, RECTIFIER DIODE
PHILIPS[Philips Semiconductors]
NXP Semiconductors N.V.
MUR405 MUR40511 MUR420 MUR460 MUR4100 MUR440 MUR48 4 Amp Ultra Fast Recovery Rectifier 50 to 1000 Volts
4 A, 100 V, SILICON, RECTIFIER DIODE, DO-201AD
4 A, 400 V, SILICON, RECTIFIER DIODE, DO-201AD
4 A, 200 V, SILICON, RECTIFIER DIODE, DO-201AD
Micro Commercial Components
http://
DSA35 DSA35-12A DSA35-16A DSA35-18A DSAI35-12A DSA Rectifier Diode Avalanche Diode 49 A, 1800 V, SILICON, RECTIFIER DIODE, DO-203AB
Rectifier Diode Avalanche Diode 49 A, 1600 V, SILICON, RECTIFIER DIODE, DO-203AB
Rectifier Diode Avalanche Diode 49 A, 1200 V, SILICON, RECTIFIER DIODE, DO-203AB
Discrete Rectifier Diodes
   Rectifier Diode Avalanche Diode
IXYS, Corp.
IXYS[IXYS Corporation]
130HF20PBF 100HF60PBF 100HFR100 100HFR100FPBF R18S 130 A, 200 V, SILICON, RECTIFIER DIODE, DO-205AC
100 A, 600 V, SILICON, RECTIFIER DIODE, DO-205AC
100 A, 1000 V, SILICON, RECTIFIER DIODE, DO-205AC
190 A, 800 V, SILICON, RECTIFIER DIODE, DO-205AA

DS2101SY14 DS2101SY15 DS2101SY DS2101SY10 DS2101SY Rectifier Diode 7810 A, 1300 V, SILICON, RECTIFIER DIODE
Rectifier Diode 整流二极
Rectifier Diode 7810 A, 1400 V, SILICON, RECTIFIER DIODE
Rectifier Diode 7810 A, 1100 V, SILICON, RECTIFIER DIODE
Dynex Semiconductor, Ltd.
DYNEX[Dynex Semiconductor]
154L80AM 200HFR100FV 45LF120 LR80A LR80M 150 A, 800 V, SILICON, RECTIFIER DIODE
200 A, 1000 V, SILICON, RECTIFIER DIODE
150 A, 1200 V, SILICON, RECTIFIER DIODE
DIODE 150 A, 800 V, SILICON, RECTIFIER DIODE, Rectifier Diode
DIODE 150 A, 800 V, SILICON, RECTIFIER DIODE, DO-205AC, Rectifier Diode
Vishay Semiconductors
 
 Related keyword From Full Text Search System
MV5295 phase MV5295 array MV5295 filetype:pdf MV5295 integrated gigabit MV5295 for sale
MV5295 type MV5295 Flash MV5295 maker MV5295 battery mcu MV5295 lead
 

 

Price & Availability of MV5295

All Rights Reserved © IC-ON-LINE 2003 - 2022  

[Add Bookmark] [Contact Us] [Link exchange] [Privacy policy]
Mirror Sites :  [www.datasheet.hk]   [www.maxim4u.com]  [www.ic-on-line.cn] [www.ic-on-line.com] [www.ic-on-line.net] [www.alldatasheet.com.cn] [www.gdcy.com]  [www.gdcy.net]


 . . . . .
  We use cookies to deliver the best possible web experience and assist with our advertising efforts. By continuing to use this site, you consent to the use of cookies. For more information on cookies, please take a look at our Privacy Policy. X
0.41579413414001