Part Number Hot Search : 
LTUCS455 FN483 SA12B5 TFA9892 CM1093 DS057 LT3433 N411067
Product Description
Full Text Search

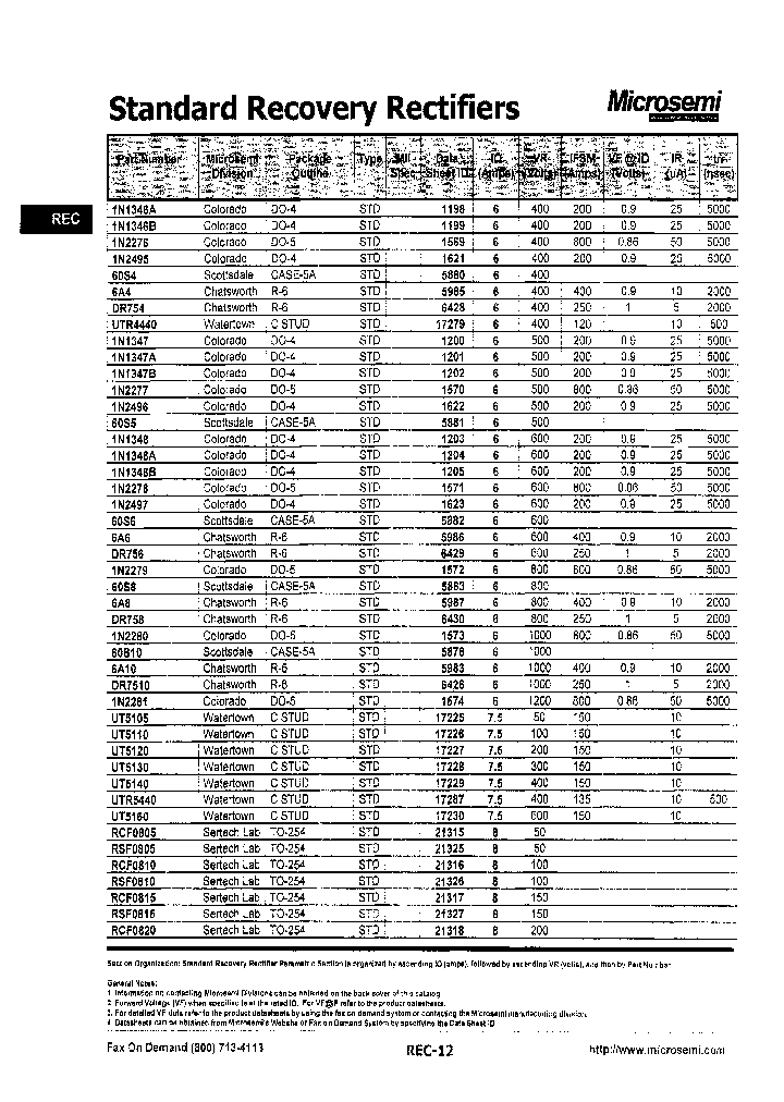
RSF0805 - 8 A, SILICON, RECTIFIER DIODE

RSF0805_7736612.PDF Datasheet


 Full text search : 8 A, SILICON, RECTIFIER DIODE
 Product Description search : 8 A, SILICON, RECTIFIER DIODE


 Related Part Number
PART Description Maker
R720366XXWA R5010210XXWA R9G00822XXWA R9G00622XXWA 600 A, 3600 V, SILICON, RECTIFIER DIODE
100 A, 200 V, SILICON, RECTIFIER DIODE
2200 A, 800 V, SILICON, RECTIFIER DIODE
2200 A, 600 V, SILICON, RECTIFIER DIODE
2200 A, 400 V, SILICON, RECTIFIER DIODE
450 A, 150 V, SILICON, RECTIFIER DIODE
550 A, 50 V, SILICON, RECTIFIER DIODE
550 A, 150 V, SILICON, RECTIFIER DIODE
2500 A, 1300 V, SILICON, RECTIFIER DIODE
300 A, 900 V, SILICON, RECTIFIER DIODE
1800 A, 200 V, SILICON, RECTIFIER DIODE
1200 A, 3100 V, SILICON, RECTIFIER DIODE
2000 A, 2300 V, SILICON, RECTIFIER DIODE
3600 A, 2300 V, SILICON, RECTIFIER DIODE
100 A, 150 V, SILICON, RECTIFIER DIODE
POWEREX INC
1N1301 1N2283 1N4526 1N1196A 1N1196 1N2021 1N1192A Standard Rectifier (trr more than 500ns)
(1N2xxx) SILICON POWER RECTIFIER
SILICON POWER RECTIFIER 40 A, 200 V, SILICON, RECTIFIER DIODE, DO-203AB
(1N4525 - 1N4529) SILICON POWER RECTIFIER
SILICON POWER RECTIFIER 40 A, 100 V, SILICON, RECTIFIER DIODE, DO-203AB
SILICON POWER RECTIFIER 40 A, 50 V, SILICON, RECTIFIER DIODE, DO-203AB
SILICON POWER RECTIFIER 40 A, 350 V, SILICON, RECTIFIER DIODE, DO-203AB
SILICON POWER RECTIFIER 40 A, 300 V, SILICON, RECTIFIER DIODE, DO-203AB
SILICON POWER RECTIFIER 40 A, 400 V, SILICON, RECTIFIER DIODE, DO-203AB
   SILICON POWER RECTIFIER
MICROSEMI[Microsemi Corporation]
Microsemi, Corp.
EFM301L EFM302L EFM303L EFM304L EFM305L EFM306L EF 3 A, 150 V, SILICON, RECTIFIER DIODE
3 A, 600 V, SILICON, RECTIFIER DIODE
SURFACE MOUNT GLASS PASSIVATED SUPER FAST SILICON RECTIFIER VOLTAGE RANGE 50 to 600 Volts CURRENT 3.0 Ampere
3 A, 200 V, SILICON, RECTIFIER DIODE
RECTRON LTD
Rectron Semiconductor
SR220 SR2200 SR220-T SR230-T SR280 2 A, 80 V, SILICON, RECTIFIER DIODE, DO-15
2 A, 30 V, SILICON, RECTIFIER DIODE, DO-15
2 A, 20 V, SILICON, RECTIFIER DIODE, DO-15
SCHOTTKY BARRIER RECTIFIER VOLTAGE RANGE 20 to 200 Volts CURRENT 2.0 Ampere
RECTRON LTD
Rectron Semiconductor
BYP54-800 BYP53 BYP53-100 BYP53-150 BYP53-200 BYP5 25A Silicon Power Rectifier Diode 25 A, 800 V, SILICON, RECTIFIER DIODE
25A Silicon Power Rectifier Diode 25 A, 500 V, SILICON, RECTIFIER DIODE
25A Silicon Power Rectifier Diode 25 A, 75 V, SILICON, RECTIFIER DIODE
25A Silicon Power Rectifier Diode 25 A, 150 V, SILICON, RECTIFIER DIODE
25 A, 75 V, SILICON, RECTIFIER DIODE PLASTIC, 2 PIN
25 A, 150 V, SILICON, RECTIFIER DIODE PLASTIC, 2 PIN
25 A, 700 V, SILICON, RECTIFIER DIODE PLASTIC, 2 PIN
25 A, 200 V, SILICON, RECTIFIER DIODE PLASTIC, 2 PIN
25 A, 400 V, SILICON, RECTIFIER DIODE PLASTIC, 2 PIN
ZETEX PLC
Zetex Semiconductor PLC
ZETEX[Zetex Semiconductors]
Diodes, Inc.
SDR954MDBS SDR953Z SDR953ZUBTX SDR953ZDB SDR953ZUB 50 A, 400 V, SILICON, RECTIFIER DIODE, TO-254AA
Hyper Fast Rectifier
50 A, 300 V, SILICON, RECTIFIER DIODE, TO-254
50 A, 500 V, SILICON, RECTIFIER DIODE, TO-254
50 A, 600 V, SILICON, RECTIFIER DIODE, TO-254
SOLID STATE DEVICES INC
Solid States Devices, Inc
Solid States Devices, I...
DSI17-06A DS80-04F DS80-12F DS80-16F DSI75-14A DSI 25 A, 600 V, SILICON, RECTIFIER DIODE
110 A, 400 V, SILICON, RECTIFIER DIODE
110 A, 1200 V, SILICON, RECTIFIER DIODE
110 A, 1600 V, SILICON, RECTIFIER DIODE
100 A, 1400 V, SILICON, RECTIFIER DIODE
52 A, 1600 V, SILICON, RECTIFIER DIODE
IXYS CORP
SW02CXC300 SW15CXC300 SW02PCN020 SW34CXC1870 SW50C 650 A, 200 V, SILICON, RECTIFIER DIODE
650 A, 1500 V, SILICON, RECTIFIER DIODE
30 A, 200 V, SILICON, RECTIFIER DIODE
4100 A, 3400 V, SILICON, RECTIFIER DIODE
1860 A, 5000 V, SILICON, RECTIFIER DIODE
WESTCODE SEMICONDUCTORS LTD
IR30CDR..LSERIES IR30CDR04LPBF IR30CDR10L IR30CDR0 1000 V, SILICON, RECTIFIER DIODE
400 V, SILICON, RECTIFIER DIODE
HIGH POWER RECTIFIER DIODES
800 V, SILICON, RECTIFIER DIODE
VISHAY SEMICONDUCTORS
International Rectifier
1N3208SERIES 1N3214R 1N3208 1N3208R 1N3209 1N3209R DIODE 15 A, 200 V, SILICON, RECTIFIER DIODE, DO-203AB, DO-5, 1 PIN, Rectifier Diode
15 A, 50 V, SILICON, RECTIFIER DIODE, DO-203AB
15 Amp Stud-mounted Silicon Rectifier Diodes 15安培良种式硅整流二极
15 am stud-mounted SILICON RECTIFIER DIODES
DIODE 15 A, 100 V, SILICON, RECTIFIER DIODE, DO-203AB, DO-5, 1 PIN, Rectifier Diode
VISHAY INTERTECHNOLOGY INC
International Rectifier, Corp.
IRF[International Rectifier]
Vishay Semiconductors
CR16-010R CR16-020R CR16-040R CR16-120R 16 A, 100 V, SILICON, RECTIFIER DIODE, DO-4
16 A, 200 V, SILICON, RECTIFIER DIODE, DO-4
16 A, 400 V, SILICON, RECTIFIER DIODE, DO-4
16 A, 1200 V, SILICON, RECTIFIER DIODE, DO-4
CENTRAL SEMICONDUCTOR CORP
 
 Related keyword From Full Text Search System
RSF0805 siemens RSF0805 watt RSF0805 Noise RSF0805 Matsushita RSF0805 usb charger circuit
RSF0805 protection ic RSF0805 state diagram RSF0805 noise RSF0805 Microelectronic RSF0805 audio
 

 

Price & Availability of RSF0805

All Rights Reserved © IC-ON-LINE 2003 - 2022  

[Add Bookmark] [Contact Us] [Link exchange] [Privacy policy]
Mirror Sites :  [www.datasheet.hk]   [www.maxim4u.com]  [www.ic-on-line.cn] [www.ic-on-line.com] [www.ic-on-line.net] [www.alldatasheet.com.cn] [www.gdcy.com]  [www.gdcy.net]


 . . . . .
  We use cookies to deliver the best possible web experience and assist with our advertising efforts. By continuing to use this site, you consent to the use of cookies. For more information on cookies, please take a look at our Privacy Policy. X
0.48449397087097