Part Number Hot Search : 
10C10 TSOP1 N250012 KBJ50 BTB10 01012 LBT12043 HC59S
Product Description
Full Text Search

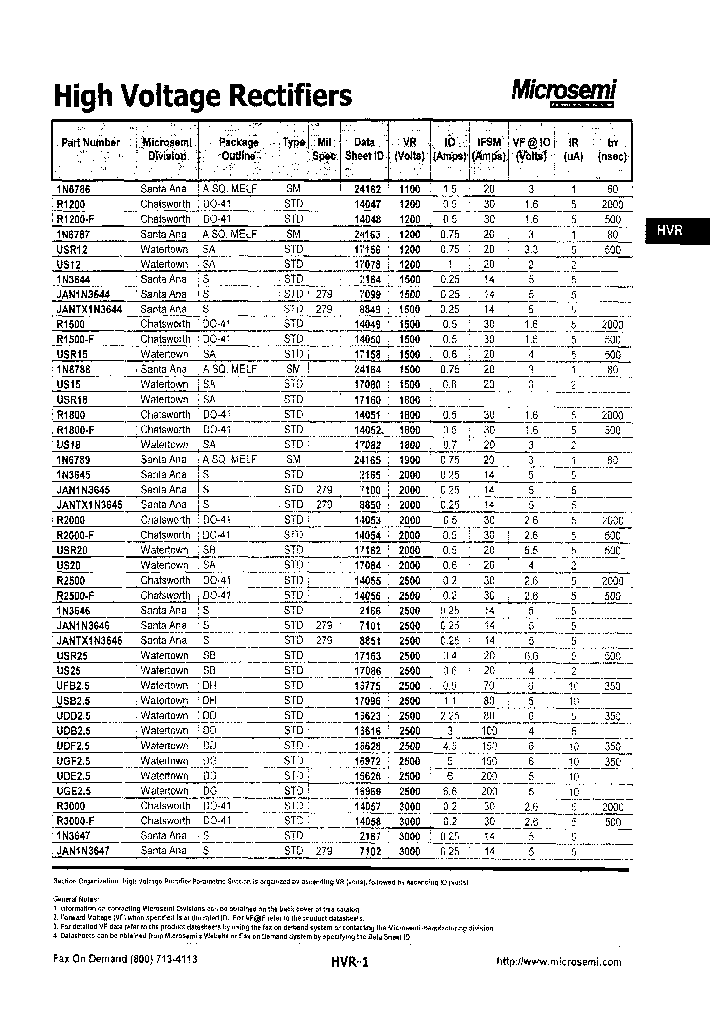
R2000 - 0.5 A, SILICON, SIGNAL DIODE, DO-41

R2000_7726471.PDF Datasheet

 
Part No. R2000
Description 0.5 A, SILICON, SIGNAL DIODE, DO-41

File Size 90.38K  /  1 Page  

Maker

MICROSEMI CORP



JITONG TECHNOLOGY
(CHINA HK & SZ)
Datasheet.hk's Sponsor

Part: R2000F
Maker:
Pack: DO-41
Stock: Reserved
Unit price for :
    50: $0.02
  100: $0.02
1000: $0.02

Email: oulindz@gmail.com

Contact us

Homepage
Download [ ]
[ R2000 Datasheet PDF Downlaod from Datasheet.HK ]
[R2000 Datasheet PDF Downlaod from Maxim4U.com ] :-)


[ View it Online ]   [ Search more for R2000 ]

[ Price & Availability of R2000 by FindChips.com ]

 Full text search : 0.5 A, SILICON, SIGNAL DIODE, DO-41
 Product Description search : 0.5 A, SILICON, SIGNAL DIODE, DO-41


 Related Part Number
PART Description Maker
SDA5000 SDA5000HF SDA12500 SDA15000 SDA8000 SDA100 STANDARD RECOVERY HIGH VOLTAGE RECTIFIER
0.5 A, 10000 V, SILICON, SIGNAL DIODE
0.5 A, 12500 V, SILICON, SIGNAL DIODE
0.5 A, 22000 V, SILICON, SIGNAL DIODE
0.5 A, 19000 V, SILICON, SIGNAL DIODE
Solid States Devices, Inc
SOLID STATE DEVICES INC
SR02150 SR0220 SR02100-HF-T SR02200-HF-F SR0220-HF LOW Vf SCHOTTKY BARRIER RECTIFIER
0.2 A, 100 V, SILICON, SIGNAL DIODE, DO-41
0.2 A, 200 V, SILICON, SIGNAL DIODE, DO-41
0.2 A, 20 V, SILICON, SIGNAL DIODE, DO-41
0.2 A, 150 V, SILICON, SIGNAL DIODE, DO-41
Rectron Semiconductor
RECTRON LTD
FM4006L-HF-W FM4007L-HF FM4003L FM4004L-HF-T 1 A, 800 V, SILICON, SIGNAL DIODE
1 A, 1000 V, SILICON, SIGNAL DIODE
1 A, 200 V, SILICON, SIGNAL DIODE
1 A, 400 V, SILICON, SIGNAL DIODE
RECTRON LTD
D83C D13-1C D13-3C D13-2C D14-2C D14-1C D14-3C D10 Single-In-Line
DIODE NETWORKS D SERIES
0.1 A, 5 ELEMENT, SILICON, SIGNAL DIODE
0.1 A, 7 ELEMENT, SILICON, SIGNAL DIODE
0.1 A, 13 ELEMENT, SILICON, SIGNAL DIODE
0.1 A, 3 ELEMENT, SILICON, SIGNAL DIODE
BI TECHNOLOGIES CORP
MA141WATX MA142AH 2SK663H 0.1 A, 2 ELEMENT, SILICON, SIGNAL DIODE
0.1 A, SILICON, SIGNAL DIODE
30 mA, N-CHANNEL, Si, SMALL SIGNAL, JFET
PANASONIC CORP
PRS07 PRS07J PRS07D PRS07G PRS07G115 PRS07J115 PRS 0.6 A, 200 V, SILICON, SIGNAL DIODE
0.6 A, 600 V, SILICON, SIGNAL DIODE HERMETIC SEALED, GLASS PACKAGE-2
0.6 A, 400 V, SILICON, SIGNAL DIODE HERMETIC SEALED, GLASS PACKAGE-2
Fast soft-recovery rectifiers
NXP Semiconductors N.V.
PHILIPS[Philips Semiconductors]
UF1003-A UF1002-A UF1007-A UF1007-B UF1001-A UF100 1.0A ULTRA-FAST RECTIFIER 1 A, 200 V, SILICON, SIGNAL DIODE, DO-41
1.0A ULTRA-FAST RECTIFIER 1 A, 1000 V, SILICON, SIGNAL DIODE, DO-41
1.0A ULTRA-FAST RECTIFIER 1 A, 50 V, SILICON, SIGNAL DIODE, DO-41
1.0A ULTRA-FAST RECTIFIER 1 A, 800 V, SILICON, SIGNAL DIODE, DO-41
1.0A ULTRA-FAST RECTIFIER 1 A, 100 V, SILICON, SIGNAL DIODE, DO-41
1.0A ULTRA-FAST RECTIFIER 1 A, 400 V, SILICON, SIGNAL DIODE, DO-41
Diodes Inc.
Diodes, Inc.
JANTX1N4454 JANTX1N4454-1 JANTXV1N4454-1 1N4454 1N Signal or Computer Diode
Silicon Switching Diode DO-35 Glass Package 0.2 A, SILICON, SIGNAL DIODE, DO-35
MICROSEMI[Microsemi Corporation]
Microsemi, Corp.
JAN1N6809UEG2 JAN1N6807UEG2 JANTX1N6810UEG2 DIODE 1 A, 800 V, SILICON, SIGNAL DIODE, DO-214BA, PLASTIC, DO-214BA, 2 PIN, Signal Diode
DIODE 1 A, 400 V, SILICON, SIGNAL DIODE, DO-214BA, PLASTIC, DO-214BA, 2 PIN, Signal Diode
DIODE 1 A, 1000 V, SILICON, SIGNAL DIODE, PLASTIC, DO-214BA, 2 PIN, Signal Diode
Vishay Semiconductors
ESH1B-E3 DIODE 1 A, 100 V, SILICON, SIGNAL DIODE, DO-214AC, LEAD FREE, PLASTIC, SMA, 2 PIN, Signal Diode
Vishay Semiconductors
VS-10BQ040TRPBF DIODE 40 V, SILICON, SIGNAL DIODE, ROHS COMPLIANT, SIMILAR TO DO-214AA, SMB, 2 PIN, Signal Diode
Vishay Semiconductors
 
 Related keyword From Full Text Search System
R2000 integrated R2000 bus switch R2000 ic资料查询 R2000 uncooled cel R2000 Table
R2000 替换表 R2000 PDF R2000 Download R2000 Band R2000 mhz
 

 

Price & Availability of R2000

All Rights Reserved © IC-ON-LINE 2003 - 2022  

[Add Bookmark] [Contact Us] [Link exchange] [Privacy policy]
Mirror Sites :  [www.datasheet.hk]   [www.maxim4u.com]  [www.ic-on-line.cn] [www.ic-on-line.com] [www.ic-on-line.net] [www.alldatasheet.com.cn] [www.gdcy.com]  [www.gdcy.net]


 . . . . .
  We use cookies to deliver the best possible web experience and assist with our advertising efforts. By continuing to use this site, you consent to the use of cookies. For more information on cookies, please take a look at our Privacy Policy. X
0.29867506027222