Part Number Hot Search : 
W1346 1340CAPC 20161 SDA312A 18708 UERA20D SLB0586 7810P
Product Description
Full Text Search

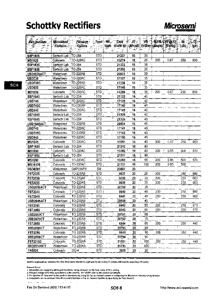
USD2070CT - 20 A, SILICON, RECTIFIER DIODE, TO-220AB

USD2070CT_7459578.PDF Datasheet


 Full text search : 20 A, SILICON, RECTIFIER DIODE, TO-220AB
 Product Description search : 20 A, SILICON, RECTIFIER DIODE, TO-220AB


 Related Part Number
PART Description Maker
IR180DR-G06PBF IR150DR-G08PBF IR150DR-G04PBF IR180 25 A, 600 V, SILICON, RECTIFIER DIODE
16 A, 800 V, SILICON, RECTIFIER DIODE
16 A, 400 V, SILICON, RECTIFIER DIODE
25 A, 200 V, SILICON, RECTIFIER DIODE
25 A, 1000 V, SILICON, RECTIFIER DIODE
16 A, 1200 V, SILICON, RECTIFIER DIODE
16 A, 100 V, SILICON, RECTIFIER DIODE
TT electronics Semelab, Ltd.
EFM202L EFM201L EFM203L EFM204L EFM205L EFM206L EF 2 A, 150 V, SILICON, RECTIFIER DIODE
2 A, 300 V, SILICON, RECTIFIER DIODE
SURFACE MOUNT GLASS PASSIVATED SUPER FAST SILICON RECTIFIER VOLTAGE RANGE 50 to 600 Volts CURRENT 2.0 Ampere
2 A, 100 V, SILICON, RECTIFIER DIODE
RECTRON LTD
Rectron Semiconductor
RBU801M RBU801M10 RBU804M RBU805M RBU806M RBU801M- 8 A, 50 V, SILICON, BRIDGE RECTIFIER DIODE
SINGLE-PHASE GLASS PASSIVATED SILICON BRIDGE RECTIFIER VOLTAGE RANGE 50 to 1000 Volts CURRENT 8.0 Amperes
8 A, 400 V, SILICON, BRIDGE RECTIFIER DIODE
8 A, 600 V, SILICON, BRIDGE RECTIFIER DIODE
8 A, 800 V, SILICON, BRIDGE RECTIFIER DIODE
RECTRON LTD
Rectron Semiconductor
CPR2-040TRLEADFREE CPR2-010TRLEADFREE CPR2-120TRLE 2 A, 400 V, SILICON, RECTIFIER DIODE
2 A, 100 V, SILICON, RECTIFIER DIODE
2 A, 1200 V, SILICON, RECTIFIER DIODE
2 A, 200 V, SILICON, RECTIFIER DIODE
3 A, 1000 V, SILICON, RECTIFIER DIODE, DO-201AD
Central Semiconductor, Corp.
CENTRAL SEMICONDUCTOR CORP
VBO36-12NO8 VBO20-16NO2 VBE20-20NO1 FBO40-12N VBO6 3 PHASE, 30 A, 1200 V, SILICON, BRIDGE RECTIFIER DIODE
31 A, 1600 V, SILICON, BRIDGE RECTIFIER DIODE
Single Phase Rectifier Bridge with Fast Recovery Epitaxial Diodes (FRED) 20 A, 2000 V, SILICON, BRIDGE RECTIFIER DIODE
Single Phase Rectifier Bridgein ISOPLUS i4-PAC-TM 40 A, 1200 V, SILICON, BRIDGE RECTIFIER DIODE
Single Phase Rectifier Bridge 65 A, 1800 V, SILICON, BRIDGE RECTIFIER DIODE
IXYS, Corp.
IXYS CORP
DSI17-06A DS80-04F DS80-12F DS80-16F DSI75-14A DSI 25 A, 600 V, SILICON, RECTIFIER DIODE
110 A, 400 V, SILICON, RECTIFIER DIODE
110 A, 1200 V, SILICON, RECTIFIER DIODE
110 A, 1600 V, SILICON, RECTIFIER DIODE
100 A, 1400 V, SILICON, RECTIFIER DIODE
52 A, 1600 V, SILICON, RECTIFIER DIODE
IXYS CORP
PBYR2045CTF PBYR2045CTX PBYR2040CTF PBYR2040CTX PB Rectifier diodes Schottky barrier
COMPUTER ACCESSORY 10 A, 40 V, SILICON, RECTIFIER DIODE
PARALLEL PRINTER CABLE 50 10 A, 40 V, SILICON, RECTIFIER DIODE
DB25 EXT CABLE 10 FT MF 10 A, 45 V, SILICON, RECTIFIER DIODE
PHILIPS[Philips Semiconductors]
NXP Semiconductors N.V.
SD300N16FV 301UR220 305UR220 301UR240 300UR20AMA 3 380 A, 1600 V, SILICON, RECTIFIER DIODE
300 A, 2200 V, SILICON, RECTIFIER DIODE, DO-205AB
DIODE 300 A, 2400 V, SILICON, RECTIFIER DIODE, DO-205AB, Rectifier Diode
DIODE 300 A, 200 V, SILICON, RECTIFIER DIODE, DO-205AB, Rectifier Diode
Vishay Semiconductors
NTE5864 NTE5889 NTE5865 Silicon power rectifier diode. Anode to case. Peak reverse voltage 200V. Max forward current 30A.
Silicon Power Rectifier Diode, 25 Amp
Silicon Power Rectifier Diode 25 Amp
Silicon Power Rectifier Diode / 25 Amp
NTE[NTE Electronics]
CMSH3-20MA CMSH3-60MATR13 CMSH3-100MATR13 SURFACE MOUNT SCHOTTKY BARRIER SILICON RECTIFIER 3.0 AMP, 20 THRU 100 VOLTS 3 A, 20 V, SILICON, RECTIFIER DIODE
3 A, 60 V, SILICON, RECTIFIER DIODE
3 A, 100 V, SILICON, RECTIFIER DIODE
Central Semiconductor, Corp.
CENTRAL SEMICONDUCTOR CORP
130HF20PBF 100HF60PBF 100HFR100 100HFR100FPBF R18S 130 A, 200 V, SILICON, RECTIFIER DIODE, DO-205AC
100 A, 600 V, SILICON, RECTIFIER DIODE, DO-205AC
100 A, 1000 V, SILICON, RECTIFIER DIODE, DO-205AC
190 A, 800 V, SILICON, RECTIFIER DIODE, DO-205AA

 
 Related keyword From Full Text Search System
USD2070CT ic资料查询 USD2070CT board USD2070CT 中文简介 USD2070CT noise USD2070CT Frequenc
USD2070CT Product USD2070CT filtran xfmr USD2070CT Analog USD2070CT Hex USD2070CT
 

 

Price & Availability of USD2070CT

All Rights Reserved © IC-ON-LINE 2003 - 2022  

[Add Bookmark] [Contact Us] [Link exchange] [Privacy policy]
Mirror Sites :  [www.datasheet.hk]   [www.maxim4u.com]  [www.ic-on-line.cn] [www.ic-on-line.com] [www.ic-on-line.net] [www.alldatasheet.com.cn] [www.gdcy.com]  [www.gdcy.net]


 . . . . .
  We use cookies to deliver the best possible web experience and assist with our advertising efforts. By continuing to use this site, you consent to the use of cookies. For more information on cookies, please take a look at our Privacy Policy. X
0.049521923065186