Part Number Hot Search : 
15004 ZTX756 2SB632D SM5311B LS017 SQ2153 201126B KFSEC1
Product Description
Full Text Search

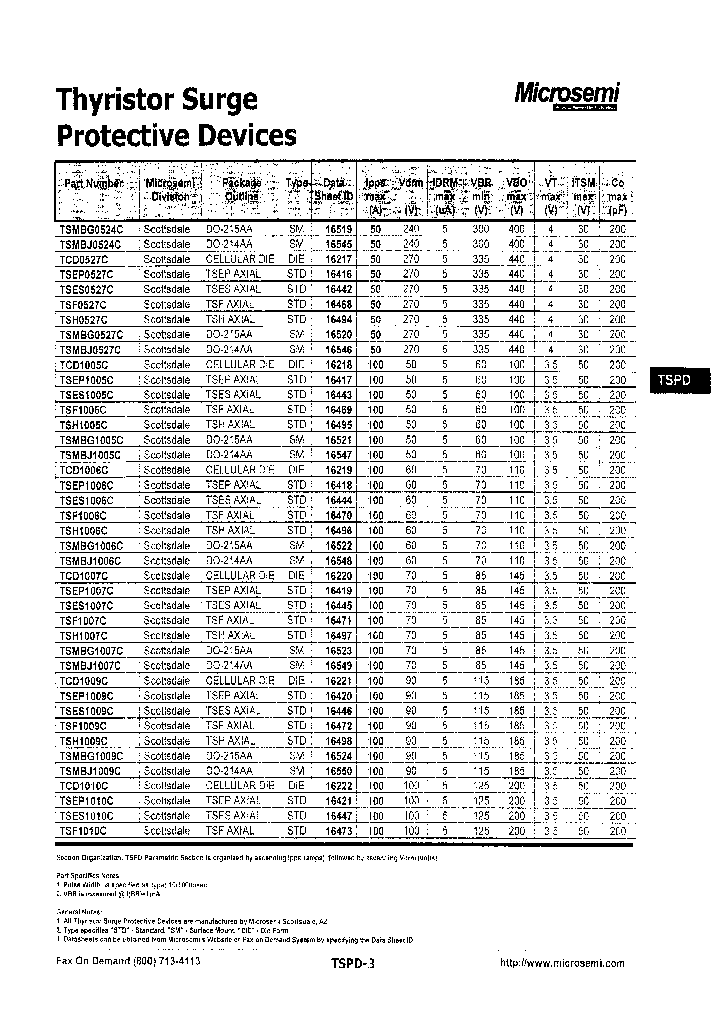
TSES1006C - 110 V, 50 A, SILICON SURGE PROTECTOR 145 V, 50 A, SILICON SURGE PROTECTOR, DO-13 200 V, 50 A, SILICON SURGE PROTECTOR

TSES1006C_6979940.PDF Datasheet


 Full text search : 110 V, 50 A, SILICON SURGE PROTECTOR 145 V, 50 A, SILICON SURGE PROTECTOR, DO-13 200 V, 50 A, SILICON SURGE PROTECTOR
 Product Description search : 110 V, 50 A, SILICON SURGE PROTECTOR 145 V, 50 A, SILICON SURGE PROTECTOR, DO-13 200 V, 50 A, SILICON SURGE PROTECTOR


 Related Part Number
PART Description Maker
TISP4070M3BJ TISP4070M3BJR TISP4240M3BJR TISP4350M 70 V, 32 A, SILICON SURGE PROTECTOR, DO-214AA PLASTIC, SMBJ, 2 PIN
240 V, 32 A, SILICON SURGE PROTECTOR, DO-214AA
350 V, 32 A, SILICON SURGE PROTECTOR, DO-214AA
Bourns, Inc.
POWER INNOVATIONS LTD
MMT05B260T3 MMT05B310T3 MMT05B23 MMT05B230T3 MMT05 Thyristor Surge Protectors 365 V, SILICON SURGE PROTECTOR, DO-214AA
Thyristor Surge Protectors(晶阐管浪涌电压保护器) 265 V, SILICON SURGE PROTECTOR, DO-214AA
ONSEMI[ON Semiconductor]
256573 265543 256568 262954 256572 256574 256564 2 TAGOUT DANG.LO THIS MACH Inhalt pro Packung: 10 Stk.
2.5GHz, 22dBm/20dBm Power Amplifiers with Analog Closed-Loop Power Control
TAGOUT LOCKED OUT Inhalt pro Packung: 10 Stk.
TAGOUT DANGER LO OP.Y/BK Inhalt pro Packung: 10 Stk.
TAGOUT DANG..EQUIP. Y/BK Inhalt pro Packung: 10 Stk.
TAGOUT DO NOT(OP/REMOVE) Inhalt pro Packung: 10 Stk.
TAGOUT (YOUR TEXT)YELL ((NS)) Inhalt pro Packung: 10 Stk.
TAGOUT (YOUR TEXT)YELL Inhalt pro Packung: 10 Stk.
TAGOUT (YOUR TEXT)RED Inhalt pro Packung: 10 Stk.
TAGOUT DONOT SW.ON UNDER Inhalt pro Packung: 10 Stk. TAGOUT DONOT SW.ON根据Inhalt亲Packung0沙头角
TAGOUT DO NOT USE Inhalt pro Packung: 10 Stk. TAGOUT不要使用Inhalt亲Packung0沙头角
ITT, Corp.
Vishay Intertechnology, Inc.
HF105F-2L_277D-1ZTF HF105F-2 HF105F-2_005A-1D HF10 SiBar Thyristor Surge Protectors; TVB065NSB-L ( Raychem ) 微型大功率继电器
SiBar Thyristor Surge Protectors; TVB065NSA-L ( Raychem ) 微型大功率继电器
SiBar Thyristor Surge Protectors; TVB058NSC-L ( Raychem ) 微型大功率继电器
SiBar Thyristor Surge Protectors; TVA270SA-L ( Raychem ) 微型大功率继电器
SiBar Thyristor Surge Protectors; TVA200SA-L ( Raychem ) 微型大功率继电器
MINIATURE HIGH POWER RELAY 微型大功率继电器
SiBar Thyristor Surge Protectors; TVB065NSC-L ( Raychem )
SiBar Thyristor Surge Protectors; TVB075NSB-L ( Raychem )
SiBar Thyristor Surge Protectors; TVB058NSA-L ( Raychem )
SiBar Thyristor Surge Protectors; TVA170NSA-L ( Raychem )
SiBar Thyristor Surge Protectors; TVB075NSA-L ( Raychem )
SiBar Thyristor Surge Protectors; TVA170SA-L ( Raychem )
SiBar Thyristor Surge Protectors; TVA220NSA-L ( Raychem )
SiBar Thyristor Surge Protectors; TVA275NSA-L ( Raychem )
SiBar Thyristor Surge Protectors; TVB058NSB-L ( Raychem )
SiBar Thyristor Surge Protectors; TVB058SA-L - SUP ( Raychem )
Xiamen Hongfa Electroacoustic Co., Ltd.
厦门宏发电声股份有限公司
HONGFA[Hongfa Technology]
1119403 1119405 1119404 1119807 1119105 ?FLEX CLASSIC 110 3G2 5
?FLEX CLASSIC 110 5G2 5
?FLEX CLASSIC 110 4G2 5
?FLEX CLASSIC 110 7X0 75
?FLEX CLASSIC 110 5G0 50M ?FleX创建经典110 5G0 5000
CDI Torque Products
TB0640L-13-F TB0900L-13-F DIODESINC-TB1800L-13-F 30A BI-DIRECTIONAL SURFACE MOUNT THYRISTOR SURGE PROTECTIVE DEVICE 77 V, 15 A, SILICON SURGE PROTECTOR
30A BI-DIRECTIONAL SURFACE MOUNT THYRISTOR SURGE PROTECTIVE DEVICE 98 V, 15 A, SILICON SURGE PROTECTOR
Diodes, Inc.
RB258/AM/B/2 RB258/AM/E/2 RB258/AM/G/2 RB258/AM/L/ MESSKOLBEN AMBER 10ML Inhalt pro Packung: 2 Stk.
MESSKOLBEN AMBER 25ML Inhalt pro Packung: 2 Stk.
MESSKOLBEN AMBER 100ML Inhalt pro Packung: 2 Stk.
MESSKOLBEN AMBER 2000ML
MESSKOLBEN AMBER 200ML Inhalt pro Packung: 2 Stk.
MESSKOLBEN AMBER 5000ML
MESSKOLBEN AMBER 5ML Inhalt pro Packung: 2 Stk. MESSKOLBEN琥珀毫升Inhalt亲Packung2沙头角
MESSKOLBEN AMBER 500ML Inhalt pro Packung: 2 Stk. MESSKOLBEN琥珀500毫升Inhalt亲Packung2沙头角
Intersil, Corp.
73CB05 73CB07 73CGKF6.0GREY 73CGKF1.0GREY 73CGKF1. THE PROFESSIONALS CHOICE
670MHz, LVDS-to-LVDS and Anything-to-LVDS, 2:1 Multiplexers NAGELSCHELLE KOAX 5条之二毫米西南Inhalt亲Packung100沙头角
NAGELSCHELLE RUND 10.0MM WEISS Inhalt pro Packung: 100 Stk. NAGELSCHELLE RUND 10.0MM韦斯Inhalt亲Packung100沙头角
NAGELSCHELLE RUND 4.0MM GRAU Inhalt pro Packung: 100 Stk. NAGELSCHELLE RUND 4.0mm的格劳Inhalt亲Packung00沙头角
NAGELSCHELLE RUND 2.75MM WEISS Inhalt pro Packung: 100 Stk.
400Mbps, Low-Jitter, Low-Noise LVDS Repeater in an SC70 Package
CABLE CLIP TW/F 8 Inhalt pro Packung: 100 Stk.
Quad LVDS Line Driver with High-ESD Tolerance and Flow-Through Pinout
NAGELSCHELLE KOAX 6 BIS 7MM SW Inhalt pro Packung: 100 Stk.
SOT23, 1.8V, Nanopower, Beyond-the-Rails Comparators With/Without Reference
NAGELSCHELLE RUND 3.5MM WEISS Inhalt pro Packung: 100 Stk.
NAGELSCHELLE FLACHKABEL 1.5QMM Inhalt pro Packung: 100 Stk.
Quad LVDS Receiver with Hysteresis
CABLE CLIP FLAT Inhalt pro Packung: 100 Stk.
List of Unclassifed Manufacturers
HIROSE ELECTRIC Co., Ltd.
NEC, Corp.
SMP100-XXX -SMP100-XXXH225 SMP100-120H225 SMP100-1 200 V, 60 A, SILICON SURGE PROTECTOR, DO-214AA
160 V, 60 A, SILICON SURGE PROTECTOR, DO-214AA
TRISIL(?ㄤ???俊?????氮娑???靛?)
TRISIL(用于通信的瞬变浪涌放电器)
STMICROELECTRONICS
意法半导
PP0800SB-LF-T PP0800SC-LF-T PP0800SC-T PP0720SC-LF THYRISTOR SURGE SUPPRESSOR 20 A, SILICON SURGE PROTECTOR, DO-214AA
THYRISTOR SURGE SUPPRESSOR 32 A, SILICON SURGE PROTECTOR, DO-214AA
   THYRISTOR SURGE SUPPRESSOR
http://
PROTEC[Protek Devices]
 
 Related keyword From Full Text Search System
TSES1006C Band TSES1006C Controller TSES1006C speech voice TSES1006C crystal TSES1006C Processor
TSES1006C Specification TSES1006C stock TSES1006C ram TSES1006C Logic TSES1006C Byte
 

 

Price & Availability of TSES1006C

All Rights Reserved © IC-ON-LINE 2003 - 2022  

[Add Bookmark] [Contact Us] [Link exchange] [Privacy policy]
Mirror Sites :  [www.datasheet.hk]   [www.maxim4u.com]  [www.ic-on-line.cn] [www.ic-on-line.com] [www.ic-on-line.net] [www.alldatasheet.com.cn] [www.gdcy.com]  [www.gdcy.net]


 . . . . .
  We use cookies to deliver the best possible web experience and assist with our advertising efforts. By continuing to use this site, you consent to the use of cookies. For more information on cookies, please take a look at our Privacy Policy. X
0.29702520370483