Part Number Hot Search : 
OPB841W AT49BV16 S06P40PT SCR6C60 ISL88042 SX8662 MAX314 192L711
Product Description
Full Text Search

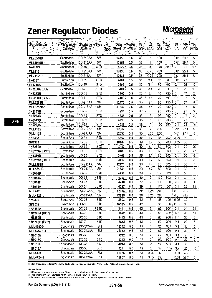
SP6338 - 39 V, 0.5 W, SILICON, UNIDIRECTIONAL VOLTAGE REGULATOR DIODE, DO-35

SP6338_6934105.PDF Datasheet

 
Part No. SP6338
Description 39 V, 0.5 W, SILICON, UNIDIRECTIONAL VOLTAGE REGULATOR DIODE, DO-35

File Size 104.68K  /  1 Page  

Maker

MICROSEMI CORP-SCOTTSDALE



JITONG TECHNOLOGY
(CHINA HK & SZ)
Datasheet.hk's Sponsor

Part: SP6330EK1-L-W-G-C/TR
Maker: Exar Corporation
Pack: ETC
Stock: Reserved
Unit price for :
    50: $0.00
  100: $0.00
1000: $0.00

Email: oulindz@gmail.com

Contact us

Homepage
Download [ ]
[ SP6338 Datasheet PDF Downlaod from Datasheet.HK ]
[SP6338 Datasheet PDF Downlaod from Maxim4U.com ] :-)


[ View it Online ]   [ Search more for SP6338 ]

[ Price & Availability of SP6338 by FindChips.com ]

 Full text search : 39 V, 0.5 W, SILICON, UNIDIRECTIONAL VOLTAGE REGULATOR DIODE, DO-35
 Product Description search : 39 V, 0.5 W, SILICON, UNIDIRECTIONAL VOLTAGE REGULATOR DIODE, DO-35


 Related Part Number
PART Description Maker
1N2282 1N1185A 1N1612 1N3055 1N4510 1N3573R 1N1581 35 A, 300 V, SILICON, RECTIFIER DIODE, DO-5
40 A, 150 V, SILICON, RECTIFIER DIODE, DO-5
5 A, 50 V, SILICON, RECTIFIER DIODE, DO-4
0.125 A, SILICON, SIGNAL DIODE
12 A, 1000 V, SILICON, RECTIFIER DIODE, DO-4
3.5 A, 500 V, SILICON, RECTIFIER DIODE, DO-4
3 A, 50 V, SILICON, RECTIFIER DIODE, DO-4
1 A, 400 V, SILICON, SIGNAL DIODE, DO-4
1 A, 200 V, SILICON, SIGNAL DIODE, DO-4
0.8 A, SILICON, SIGNAL DIODE
35 A, 800 V, SILICON, RECTIFIER DIODE, DO-5
275 A, 150 V, SILICON, RECTIFIER DIODE, DO-9

2EZ11D5 2EZ14D5 2EZ150D5 2EZ16D5 2EZ17D5 2EZ180D5    SILICON ZENER DIODES
CABLE RISER SHIELD 6COND 22AWG
CAP 3.3UF 50V 10% X7R AXIAL BULK S-MIL-PRF-39014
8 Character x 1 Line, 5 x 11 Dot Matrix Character
surface mount silicon Zener diodes 33 V, 2 W, SILICON, UNIDIRECTIONAL VOLTAGE REGULATOR DIODE, DO-41
surface mount silicon Zener diodes 30 V, 2 W, SILICON, UNIDIRECTIONAL VOLTAGE REGULATOR DIODE, DO-41
surface mount silicon Zener diodes 36 V, 2 W, SILICON, UNIDIRECTIONAL VOLTAGE REGULATOR DIODE, DO-41
surface mount silicon Zener diodes 16 V, 2 W, SILICON, UNIDIRECTIONAL VOLTAGE REGULATOR DIODE, DO-41
20 characters x 2 Lines, 5x7 Dot Matric Character and Cursor 39 V, 2 W, SILICON, UNIDIRECTIONAL VOLTAGE REGULATOR DIODE, DO-41
surface mount silicon Zener diodes 13 V, 2 W, SILICON, UNIDIRECTIONAL VOLTAGE REGULATOR DIODE, DO-41
surface mount silicon Zener diodes 43 V, 2 W, SILICON, UNIDIRECTIONAL VOLTAGE REGULATOR DIODE, DO-41
CONN EDGE CARD DUAL .8MM 40POS 17 V, 2 W, SILICON, UNIDIRECTIONAL VOLTAGE REGULATOR DIODE, DO-41
surface mount silicon Zener diodes 27 V, 2 W, SILICON, UNIDIRECTIONAL VOLTAGE REGULATOR DIODE, DO-41
surface mount silicon Zener diodes 120 V, 2 W, SILICON, UNIDIRECTIONAL VOLTAGE REGULATOR DIODE, DO-41
EIC discrete Semiconduc...
http://
EIC[EIC discrete Semiconductors]
Electronics Industry Public Company Limited
EIC SEMICONDUCTOR INC
FM305B FM306B FM303B FM302B FM304B FM301B FM302B-W 3 A, 200 V, SILICON, RECTIFIER DIODE, DO-214AA
3 A, 400 V, SILICON, RECTIFIER DIODE, DO-214AA
3 A, 100 V, SILICON, RECTIFIER DIODE, DO-214AA
SURFACE MOUNT GLASS PASSIVATED SILICON RECTIFIER VOLTAGE RANGE 50 to 1000 Volts CURRENT 3.0 Amperes
3 A, 50 V, SILICON, RECTIFIER DIODE, DO-214AA
3 A, 600 V, SILICON, RECTIFIER DIODE, DO-214AA
RECTRON LTD
Rectron Semiconductor
RBU801M RBU801M10 RBU804M RBU805M RBU806M RBU801M- 8 A, 50 V, SILICON, BRIDGE RECTIFIER DIODE
SINGLE-PHASE GLASS PASSIVATED SILICON BRIDGE RECTIFIER VOLTAGE RANGE 50 to 1000 Volts CURRENT 8.0 Amperes
8 A, 400 V, SILICON, BRIDGE RECTIFIER DIODE
8 A, 600 V, SILICON, BRIDGE RECTIFIER DIODE
8 A, 800 V, SILICON, BRIDGE RECTIFIER DIODE
RECTRON LTD
Rectron Semiconductor
1N957B 1N959B 1N963B 1N962B 1N960B 1N958B 1N961B Silicon Z-Diodes(绋冲??靛?10V锛?ǔ瀹??娴?0mA???榻?撼浜??绠?
Silicon Z-Diodes(稳定电压9.1V,稳定电0mA的硅齐纳二极
Silicon Z-Diodes(稳定电压7.5V,稳定电0mA的硅齐纳二极
From old datasheet system
Silicon Z?Diodes
Vishay Intertechnology,Inc.
TFUNK[Vishay Telefunken]
1N6017A-1TR 1N6012B 1N6000-1TR 1N5989D-1E3TR 1N600 51 V, 0.48 W, SILICON, UNIDIRECTIONAL VOLTAGE REGULATOR DIODE, DO-204AH
33 V, 0.48 W, SILICON, UNIDIRECTIONAL VOLTAGE REGULATOR DIODE, DO-204AH
10 V, 0.48 W, SILICON, UNIDIRECTIONAL VOLTAGE REGULATOR DIODE, DO-204AH
3.6 V, 0.48 W, SILICON, UNIDIRECTIONAL VOLTAGE REGULATOR DIODE, DO-204AH
20 V, 0.48 W, SILICON, UNIDIRECTIONAL VOLTAGE REGULATOR DIODE, DO-204AH
47 V, 0.48 W, SILICON, UNIDIRECTIONAL VOLTAGE REGULATOR DIODE, DO-204AH
5.6 V, 0.48 W, SILICON, UNIDIRECTIONAL VOLTAGE REGULATOR DIODE, DO-204AH
39 V, 0.48 W, SILICON, UNIDIRECTIONAL VOLTAGE REGULATOR DIODE, DO-204AH
68 V, 0.48 W, SILICON, UNIDIRECTIONAL VOLTAGE REGULATOR DIODE, DO-204AH
6.2 V, 0.48 W, SILICON, UNIDIRECTIONAL VOLTAGE REGULATOR DIODE, DO-204AH
4.3 V, 0.48 W, SILICON, UNIDIRECTIONAL VOLTAGE REGULATOR DIODE, DO-204AH
3.3 V, 0.48 W, SILICON, UNIDIRECTIONAL VOLTAGE REGULATOR DIODE, DO-204AH
200 V, 0.48 W, SILICON, UNIDIRECTIONAL VOLTAGE REGULATOR DIODE, DO-204AH
6.8 V, 0.48 W, SILICON, UNIDIRECTIONAL VOLTAGE REGULATOR DIODE, DO-204AH
130 V, 0.48 W, SILICON, UNIDIRECTIONAL VOLTAGE REGULATOR DIODE, DO-204AH
7.5 V, 0.48 W, SILICON, UNIDIRECTIONAL VOLTAGE REGULATOR DIODE, DO-204AH
27 V, 0.48 W, SILICON, UNIDIRECTIONAL VOLTAGE REGULATOR DIODE, DO-204AH
36 V, 0.48 W, SILICON, UNIDIRECTIONAL VOLTAGE REGULATOR DIODE, DO-204AH
75 V, 0.48 W, SILICON, UNIDIRECTIONAL VOLTAGE REGULATOR DIODE, DO-204AH
82 V, 0.48 W, SILICON, UNIDIRECTIONAL VOLTAGE REGULATOR DIODE, DO-204AH
160 V, 0.48 W, SILICON, UNIDIRECTIONAL VOLTAGE REGULATOR DIODE, DO-204AH
150 V, 0.48 W, SILICON, UNIDIRECTIONAL VOLTAGE REGULATOR DIODE, DO-204AH
   Axial-Leaded 500 mW Zener Diodes
MICROSEMI CORP-SCOTTSDALE
MICROSEMI CORP-LAWRENCE
Microsemi Corporation
BZG03C BZG03C120 BZG03C13 BZG03C51 BZG03C15 BZG03C    Silicon Z-Diodes
Silicon ZDiodes
From old datasheet system
Silicon Z-Diode(稳压应用电压范围10-270V的齐纳二极管)
Vishay Telefunken
VISAY[Vishay Siliconix]
Vishay Intertechnology,Inc.
MD5802 MD4249 MD4246 MICROSEMICORP-MD5069 MD5550 D 1 A, SILICON, SIGNAL DIODE
5 A, SILICON, RECTIFIER DIODE
110 V, 3 W, SILICON, UNIDIRECTIONAL VOLTAGE REGULATOR DIODE
MICROSEMI CORP
BYP35A0506 BYP35A05 BYP35A1 BYP35A2 BYP35A3 BYP35A 35 A, 300 V, SILICON, RECTIFIER DIODE METAL PACKAGE-1
35 A, 50 V, SILICON, RECTIFIER DIODE METAL PACKAGE-1
35 A, 100 V, SILICON, RECTIFIER DIODE METAL PACKAGE-1
35 A, 600 V, SILICON, RECTIFIER DIODE METAL PACKAGE-1
35 A, 200 V, SILICON, RECTIFIER DIODE METAL PACKAGE-1
35 A, 400 V, SILICON, RECTIFIER DIODE METAL PACKAGE-1
Silicon Press-Fit-Diodes
Semikron International
DS1007 DS1007-1 DS1007-10 DS1007-11 DS1007-12 DS10 7-in-1 Silicon Delay Line SILICON DELAY LINE, TRUE OUTPUT, PDSO16
7-in-1 Silicon Delay Line SILICON DELAY LINE, TRUE OUTPUT, PDIP16
Circular Connector; Body Material:Aluminum Alloy; Series:MS3111; Number of Contacts:8; Connector Shell Size:16; Connecting Termination:Solder; Circular Shell Style:Cable Receptacle; Circular Contact Gender:Pin
From old datasheet system
7-1 Silicon Delay Line
Maxim Integrated Products, Inc.
DALLAS[Dallas Semiconductor]
Dallas Semiconducotr
MAXIM - Dallas Semiconductor
 
 Related keyword From Full Text Search System
SP6338 integrated gigabit SP6338 Converter SP6338 motorola SP6338 infineon SP6338 filetype:pdf
SP6338 regulation SP6338 Test SP6338 Switch SP6338 usb circuit diagram SP6338 替换
 

 

Price & Availability of SP6338

All Rights Reserved © IC-ON-LINE 2003 - 2022  

[Add Bookmark] [Contact Us] [Link exchange] [Privacy policy]
Mirror Sites :  [www.datasheet.hk]   [www.maxim4u.com]  [www.ic-on-line.cn] [www.ic-on-line.com] [www.ic-on-line.net] [www.alldatasheet.com.cn] [www.gdcy.com]  [www.gdcy.net]


 . . . . .
  We use cookies to deliver the best possible web experience and assist with our advertising efforts. By continuing to use this site, you consent to the use of cookies. For more information on cookies, please take a look at our Privacy Policy. X
0.038625955581665