Part Number Hot Search : 
FMMT5401 6VM1C ADM1486 BD3100S HA7003 B4052 MC1541 18XXX
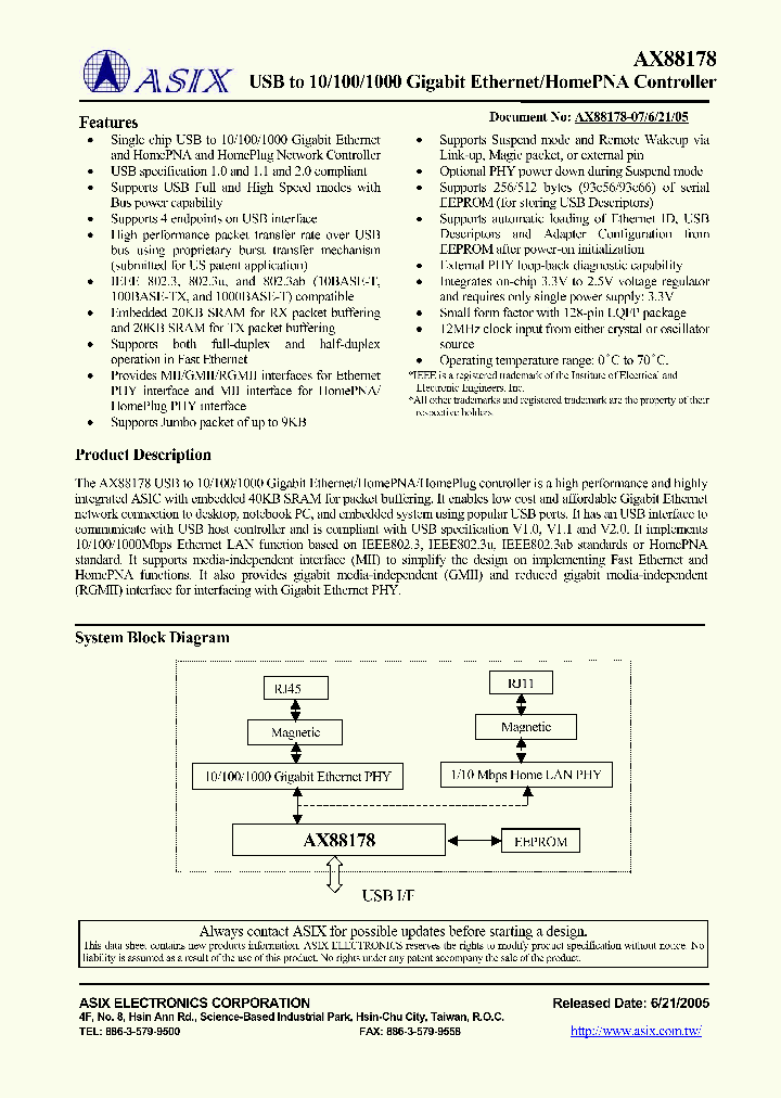
Product Description
Full Text Search

AX88178 - USB to 10/100/1000 Gigabit Ethernet/HomePNA Controller

AX88178_1214963.PDF Datasheet


 Full text search : USB to 10/100/1000 Gigabit Ethernet/HomePNA Controller
 Product Description search : USB to 10/100/1000 Gigabit Ethernet/HomePNA Controller


 Related Part Number
PART Description Maker
U236000GBW USB 2.0 Hi-Speed to Gigabit Ethernet NIC Network Adapter, 10-100-1000 Mbps, White
Tripp Lite. All Rights Rese...
0813-1X1T-23 0816-1X1T-23 1port.No LEDs.RJ45 10/100/1000 Gigabit Ethernet
INTEGRATED CONNECTOR MODULES Gigabit belMag⑩
BEL[Bel Fuse Inc.]
0843-2C1T-33 0843-2B1T-33 INTEGRATED CONNECTOR MODULES Gigabit belStack with LEDs
INTEGRATED CONNECTOR MODULES Gigabit belStack⑩ with LEDs
2port.GO/GO LEDs.RJ45 10/100/1000 Gigabit Ethernet
2port.GY/GY LEDs.RJ45 10/100/1000 Gigabit Ethernet 2port.GY/GY LEDs.RJ45 10/100/1000千兆以太
BEL[Bel Fuse Inc.]
3M Company
BCM5400 10/100/1000BASE-T Gigabit Ethernet Transceiver
100/1000 BASE-T GIGABIT ETHERNET TRANSCEIVER
Broadcom
ETC
IP1001LF Integrated 10/100/1000 Gigabit Ethernet Transceiver
IC Plus
IP1001-DS-R03 IP1001-DS-R02 IP1001-DS-R01 IP1001-D Integrated 10/100/1000 Gigabit Ethernet Transceiver
List of Unclassifed Manufacturers
BCM5400 100/1000 BASE-T GIGABIT ETHERNET TRANSCEIVER
Broadcom Corporation.
AX88179 USB 3.0 tp 10/100/1000M Gigabit Ethernet Controller
ASIX Electronics Corporation
AGSC-2415S 100/1000 Base T Gigabit Single Port Transformer
Allied Components International
AGTA-7203S 100/1000 Base T Gigabit Quad Port Transformer
Allied Components International
AGSC-2402S 100/1000 Base T Gigabit Single Port Transformer
Allied Components International
 
 Related keyword From Full Text Search System
AX88178 complimentary AX88178 atmel AX88178 SePIC AX88178 dropout AX88178 schematic
AX88178 fet AX88178 Product AX88178 Description AX88178 asm encoder AX88178 LPE model
 

 

Price & Availability of AX88178

All Rights Reserved © IC-ON-LINE 2003 - 2022  

[Add Bookmark] [Contact Us] [Link exchange] [Privacy policy]
Mirror Sites :  [www.datasheet.hk]   [www.maxim4u.com]  [www.ic-on-line.cn] [www.ic-on-line.com] [www.ic-on-line.net] [www.alldatasheet.com.cn] [www.gdcy.com]  [www.gdcy.net]


 . . . . .
  We use cookies to deliver the best possible web experience and assist with our advertising efforts. By continuing to use this site, you consent to the use of cookies. For more information on cookies, please take a look at our Privacy Policy. X
0.03334903717041